Drug Information
| Drug General Information | |||||
|---|---|---|---|---|---|
| Drug ID |
D03LMM
|
||||
| Former ID |
DNC002643
|
||||
| Drug Name |
G418
|
||||
| Drug Type |
Small molecular drug
|
||||
| Indication | Discovery agent | Investigative | [551393] | ||
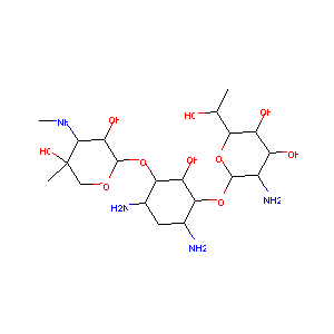
| Structure |
|
Download2D MOL |
|||
| Formula |
C20H40N4O10
|
||||
| Canonical SMILES |
CC(C1C(C(C(C(O1)OC2C(CC(C(C2O)OC3C(C(C(CO3)(C)O)NC)O)N)<br />N)N)O)O)O
|
||||
| InChI |
1S/C20H40N4O10/c1-6(25)14-11(27)10(26)9(23)18(32-14)33-15-7(21)4-8(22)16(12(15)28)34-19-13(29)17(24-3)20(2,30)5-31-19/h6-19,24-30H,4-5,21-23H2,1-3H3/t6-,7+,8-,9-,10-,11+,12+,13-,14-,15-,16+,17-,18-,19-,20+/m1/s1
|
||||
| InChIKey |
BRZYSWJRSDMWLG-DJWUNRQOSA-N
|
||||
| CAS Number |
CAS 49863-47-0
|
||||
| PubChem Compound ID | |||||
| PubChem Substance ID |
651382, 7887824, 26708770, 29304044, 50047889, 51060325, 57340625, 85286096, 96024033, 103072798, 103078072, 103499571, 104419512, 127324866, 127324867, 127324868, 127324869, 127324870, 127324871, 127324872, 127324873, 127324874, 131271576, 135080171, 139650597, 163716078, 184548255, 198948062, 223873142, 230880711, 243275896, 252300370
|
||||
| Target and Pathway | |||||
| Target(s) | Ornithine decarboxylase | Target Info | Inhibitor | [551393] | |
| BioCyc Pathway | Putrescine biosynthesis I | ||||
| PANTHER Pathway | Ornithine degradation | ||||
| CCKR signaling map ST | |||||
| Pathway Interaction Database | Validated targets of C-MYC transcriptional activation | ||||
| PathWhiz Pathway | Spermidine and Spermine Biosynthesis | ||||
| References | |||||
If you find any error in data or bug in web service, please kindly report it to Dr. Zhang and Dr. Mou.
