Drug Information
| Drug General Information | |||||
|---|---|---|---|---|---|
| Drug ID |
D05EAM
|
||||
| Former ID |
DAP000764
|
||||
| Drug Name |
Pentamidine
|
||||
| Synonyms |
Lomidine; Nebupent; PENTAM; PNT; Pentacarinat; Pentamide; Pentamidin; Pentamidina; Pentamidinum; Pneumopent; PENTAMIDINE ISETHIONATE; Pentamidina [DCIT]; Pentamidine isetionate; Pentamidine mesylate; MB 800; Pentam 300; Lomidine (TN); MB-800; Nebupent (as isethionate); Pentacarinat (as isethionate); Pentam 300 (as isethionate); Pentamidine (INN); Pentamidinum [INN-Latin]; RP-2512; Nebupent (*Isethionate); Pentacarinat (*Isethionate); Pentam 300 (*Isethionate); Pentamidine Isethionate 2-Hydroxy-Ethanesulfonic Acid;Pentamidine [INN:BAN:DCF]; RP 2512 (*Isethionate); P,p'-(Pentamethylenedioxy)bis[benzamidine]; P,p'-(Pentamethylenedioxy)dibenzamidine; P,p'-(Pentamethylene-dioxy)bis-benzamidine; Benzenecarboximidamide, 4,4'-(1,5-pentanediylbis(oxy))bis-(9CI); 1,3-BIS(4-AMIDINOPHENOXY)PENTANE; 4, 4'-Diamidinodiphenoxypentane; 4,4'-(1,5-Pentanediylbis(oxy))bis-benzenecarboximidamide; 4,4'-(Pentamethylenedioxy)dibenzamide; 4,4'-(Pentamethylenedioxy)dibenzamidine; 4,4'-Diamidino-.alpha.,.omega.-diphenoxypentane; 4,4'-Diamidinodiphenoxypentane; 4,4'-[pentane-1,5-diylbis(oxy)]dibenzenecarboximidamide; 4-[5-(4-Carbamimidoylphenoxy)pentoxy]benzenecarboximidamide
|
||||
| Drug Type |
Small molecular drug
|
||||
| Therapeutic Class |
Antifungal Agents
|
||||
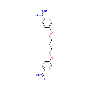
| Structure |
|
Download2D MOL |
|||
| Formula |
C19H24N4O2
|
||||
| Canonical SMILES |
C1=CC(=CC=C1C(=N)N)OCCCCCOC2=CC=C(C=C2)C(=N)N
|
||||
| InChI |
1S/C19H24N4O2/c20-18(21)14-4-8-16(9-5-14)24-12-2-1-3-13-25-17-10-6-15(7-11-17)19(22)23/h4-11H,1-3,12-13H2,(H3,20,21)(H3,22,23)
|
||||
| InChIKey |
XDRYMKDFEDOLFX-UHFFFAOYSA-N
|
||||
| CAS Number |
CAS 100-33-4
|
||||
| PubChem Compound ID | |||||
| PubChem Substance ID |
9624, 75273, 596087, 7687717, 7889974, 7980274, 8152906, 11371352, 11374018, 11446573, 11467701, 11484026, 11486282, 11487971, 11490092, 11492195, 14802371, 24262996, 26697116, 26704279, 29223821, 46508562, 47515246, 47810678, 47810679, 47959662, 48110386, 48184930, 48416390, 49698900, 49829609, 49877520, 50096576, 50123735, 50123736, 53787921, 57322420, 78291630, 81061089, 85256751, 85261596, 88835490, 90944750, 92308870, 92711694, 96025020, 103167313, 103927078, 104307277, 117524407
|
||||
| ChEBI ID |
ChEBI:45081
|
||||
| SuperDrug ATC ID |
P01CX01
|
||||
| SuperDrug CAS ID |
cas=000140647
|
||||
| Target and Pathway | |||||
| Target(s) | Tryptase | Target Info | Inhibitor | [534849], [537936] | |
| References | |||||
If you find any error in data or bug in web service, please kindly report it to Dr. Zhang and Dr. Mou.
