Drug Information
| Drug General Information | |||||
|---|---|---|---|---|---|
| Drug ID |
D06RTP
|
||||
| Former ID |
DNC006266
|
||||
| Drug Name |
C[Nle-Val-D-Nal(2')-Arg-Trp-Glu]-NH2
|
||||
| Drug Type |
Small molecular drug
|
||||
| Indication | Discovery agent | Investigative | [528082] | ||
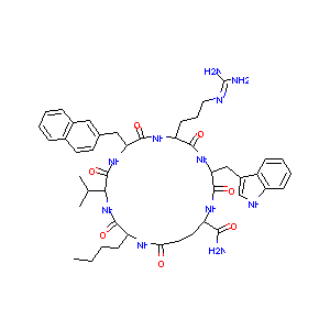
| Structure |
|
Download2D MOL |
|||
| Formula |
C46H61N11O7
|
||||
| Canonical SMILES |
CCCCC1C(=O)NC(C(=O)NC(C(=O)NC(C(=O)NC(C(=O)NC(CCC(=O)N1<br />)C(=O)N)CC2=CNC3=CC=CC=C32)CCCN=C(N)N)CC4=CC5=CC=CC=C5C<br />=C4)C(C)C
|
||||
| InChI |
1S/C46H61N11O7/c1-4-5-14-34-42(61)57-39(26(2)3)45(64)56-36(23-27-17-18-28-11-6-7-12-29(28)22-27)43(62)54-35(16-10-21-50-46(48)49)41(60)55-37(24-30-25-51-32-15-9-8-13-31(30)32)44(63)53-33(40(47)59)19-20-38(58)52-34/h6-9,11-13,15,17-18,22,25-26,33-37,39,51H,4-5,10,14,16,19-21,23-24H2,1-3H3,(H2,47,59)(H,52,58)(H,53,63)(H,54,62)(H,55,60)(H,56,64)(H,57,61)(H4,48,49,50)/t33-,34-,35-,36+,37-,39-/m0/s1
|
||||
| InChIKey |
GVZTZLFKKLVBJF-JDABYTJISA-N
|
||||
| PubChem Compound ID | |||||
| Target and Pathway | |||||
| Target(s) | Melanocortin-4 receptor | Target Info | Inhibitor | [528082] | |
| Melanocyte stimulating hormone receptor | Target Info | Inhibitor | [528082] | ||
| Melanocortin receptor | Target Info | Inhibitor | [528082] | ||
| Melanocortin-3 receptor | Target Info | Inhibitor | [528082] | ||
| Pathway Interaction Database | Syndecan-3-mediated signaling events | ||||
| References | |||||
If you find any error in data or bug in web service, please kindly report it to Dr. Zhang and Dr. Mou.
