Drug Information
| Drug General Information | |||||
|---|---|---|---|---|---|
| Drug ID |
D0A8NZ
|
||||
| Former ID |
DNC009530
|
||||
| Drug Name |
Cyclo[DAsp7,Lys10]N/OFQ(1-13)NH2
|
||||
| Indication | Discovery agent | Investigative | [529593] | ||
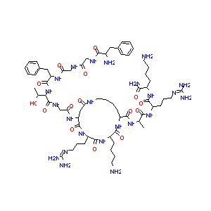
| Structure |
|
Download2D MOL |
|||
| Formula |
C65H105N23O15
|
||||
| Canonical SMILES |
CC(C(C(=O)NCC(=O)NC1CC(=O)NCCCCC(NC(=O)C(NC(=O)C(NC1=O)<br />CCCN=C(N)N)CCCCN)C(=O)NC(C)C(=O)NC(CCCN=C(N)N)C(=O)NC(C<br />CCCN)C(=O)N)NC(=O)C(CC2=CC=CC=C2)NC(=O)CNC(=O)CNC(=O)C(<br />CC3=CC=CC=C3)N)O
|
||||
| InChI |
1S/C65H105N23O15/c1-37(55(95)84-45(24-15-29-75-64(70)71)58(98)83-42(54(69)94)21-9-12-26-66)80-57(97)43-23-11-14-28-74-49(90)33-48(61(101)87-46(25-16-30-76-65(72)73)60(100)86-44(59(99)85-43)22-10-13-27-67)82-52(93)36-79-63(103)53(38(2)89)88-62(102)47(32-40-19-7-4-8-20-40)81-51(92)35-77-50(91)34-78-56(96)41(68)31-39-17-5-3-6-18-39/h3-8,17-20,37-38,41-48,53,89H,9-16,21-36,66-68H2,1-2H3,(H2,69,94)(H,74,90)(H,77,91)(H,78,96)(H,79,103)(H,80,97)(H,81,92)(H,82,93)(H,83,98)(H,84,95)(H,85,99)(H,86,100)(H,87,101)(H,88,102)(H4,70,71,75)(H4,72,73,76)/t37-,38+,41-,42-,43-,44-,45-,46-,47-,48-,53-/m0/s1
|
||||
| InChIKey |
MUJYKGBDMXOPCE-CFUMCULZSA-N
|
||||
| PubChem Compound ID | |||||
| Target and Pathway | |||||
| Target(s) | Nociceptin receptor | Target Info | Inhibitor | [529593] | |
| KEGG Pathway | Neuroactive ligand-receptor interaction | ||||
| References | |||||
If you find any error in data or bug in web service, please kindly report it to Dr. Zhang and Dr. Mou.
