Drug General Information
Drug ID
D0C4YA
Former ID
DIB003816
Drug Name
AG-331
Synonyms
Metesind glucuronate
Drug Type
Small molecular drug
Indication Solid tumours [ICD9: 140-199, 210-229; ICD10:C00-D48] Discontinued in Phase 1 [545448]
Company
Agouron Pharmaceuticals Inc
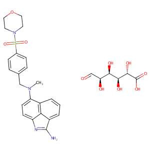
Structure
Download
2D MOL

3D MOL

Formula
C29H34N4O10S
Canonical SMILES
S(=O)(=O)(N1CCOCC1)c1ccc(CN(c2c3c4c(N=C(c4ccc3)N)cc2)C)<br />cc1.[C@H]([C@H]([C@@H]([C@H](C=O)O)O)O)(C(=O)O)O
CAS Number
CAS 157182-23-5
PubChem Compound ID
Target and Pathway
Target(s) Thymidylate synthase Target Info Inhibitor [534748]
BioCyc Pathway Pyrimidine deoxyribonucleotides biosynthesis from CTP
Pyrimidine deoxyribonucleotides de novo biosynthesis
Superpathway of pyrimidine deoxyribonucleotides de novo biosynthesis
Superpathway of pyrimidine deoxyribonucleoside salvage
DTMP de novo biosynthesis (mitochondrial)
Pyrimidine deoxyribonucleosides salvage
KEGG Pathway Pyrimidine metabolism
One carbon pool by folate
Metabolic pathways
PANTHER Pathway De novo pyrimidine deoxyribonucleotide biosynthesis
Formyltetrahydroformate biosynthesis
Pathway Interaction Database E2F transcription factor network
PathWhiz Pathway Pyrimidine Metabolism
Reactome E2F mediated regulation of DNA replication
Pyrimidine biosynthesis
G1/S-Specific Transcription
WikiPathways Trans-sulfuration and one carbon metabolism
Retinoblastoma (RB) in Cancer
One Carbon Metabolism
Integrated Pancreatic Cancer Pathway
miR-targeted genes in muscle cell - TarBase
miR-targeted genes in lymphocytes - TarBase
miR-targeted genes in leukocytes - TarBase
miR-targeted genes in epithelium - TarBase
Metabolism of nucleotides
Fluoropyrimidine Activity
References
Ref 545448Trusted, scientifically sound profiles of drug programs, clinical trials, safety reports, and company deals, written by scientists. Springer. 2015. Adis Insight (drug id 800003304)
Ref 534748Phase I trial of the thymidylate synthase inhibitor AG331 as a 5-day continuous infusion. Clin Cancer Res. 1996 Oct;2(10):1685-92.

If you find any error in data or bug in web service, please kindly report it to Dr. Zhang and Dr. Mou.