Drug Information
| Drug General Information | |||||
|---|---|---|---|---|---|
| Drug ID |
D0Q5YF
|
||||
| Former ID |
DCL000088
|
||||
| Drug Name |
Cipralisant
|
||||
| Synonyms |
Cipralisant [INN]; 5-[(1R,2R)-2-(5,5-dimethylhex-1-ynyl)cyclopropyl]-1H-imidazole
|
||||
| Drug Type |
Small molecular drug
|
||||
| Company |
Gliatech
|
||||
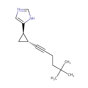
| Structure |
|
Download2D MOL |
|||
| Formula |
C14H20N2
|
||||
| InChI |
InChI=1S/C14H20N2/c1-14(2,3)7-5-4-6-11-8-12(11)13-9-15-10-16-13/h9-12H,5,7-8H2,1-3H3,(H,15,16)/t11-,12-/m1/s1
|
||||
| InChIKey |
CVKJAXCQPFOAIN-VXGBXAGGSA-N
|
||||
| PubChem Compound ID | |||||
| PubChem Substance ID | |||||
| Target and Pathway | |||||
| Target(s) | Histamine H3 receptor | Target Info | Binder | [536066] | |
| KEGG Pathway | Neuroactive ligand-receptor interaction | ||||
| References | |||||
| Ref 536225 | Emerging drugs for eating disorder treatment. Expert Opin Emerg Drugs. 2006 May;11(2):315-36. | ||||
| Ref 538758 | (http://www.guidetopharmacology.org/) Nucleic Acids Res. 2015 Oct 12. pii: gkv1037. The IUPHAR/BPS Guide to PHARMACOLOGY in 2016: towards curated quantitative interactions between 1300 protein targets and 6000 ligands. (Ligand id: 1244). | ||||
If you find any error in data or bug in web service, please kindly report it to Dr. Zhang and Dr. Mou.
