Drug General Information
Drug ID
D05ACQ
Former ID
DIB012725
Drug Name
Gallium maltolate
Synonyms
GaM
Drug Type
Small molecular drug
Indication Human immunodeficiency virus infection [ICD9: 279.3; ICD10:B20-B26] Discontinued in Phase 2 [547230]
Company
Titan Pharmaceuticals; Geomed Inc
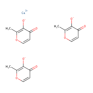
Structure
Download
2D MOL

3D MOL

Formula
C18H15GaO9
Canonical SMILES
c1(c(=O)ccoc1C)[O-].[GaH3+3].c1(c(=O)ccoc1C)[O-].c1(c(=<br />O)ccoc1C)[O-]
CAS Number
CAS 108560-70-9
PubChem Compound ID
Target and Pathway
Target(s) Ribonucleoside-diphosphatereductase subunit M2 Target Info Binder [528297]
BioCyc Pathway Pyrimidine deoxyribonucleotides biosynthesis from CTP
Pyrimidine deoxyribonucleotides de novo biosynthesis
Guanosine nucleotides de novo biosynthesis
Superpathway of pyrimidine deoxyribonucleotides de novo biosynthesis
Superpathway of purine nucleotide salvage
Purine nucleotides de novo biosynthesis
Adenosine deoxyribonucleotides de novo biosynthesis
Guanosine deoxyribonucleotides de novo biosynthesis
KEGG Pathway Purine metabolism
Pyrimidine metabolism
Glutathione metabolism
Metabolic pathways
p53 signaling pathway
NetPath Pathway EGFR1 Signaling Pathway
PANTHER Pathway p53 pathway
De novo purine biosynthesis
De novo pyrimidine deoxyribonucleotide biosynthesis
Pathway Interaction Database E2F transcription factor network
PathWhiz Pathway Purine Metabolism
Pyrimidine Metabolism
Reactome E2F mediated regulation of DNA replication
G1/S-Specific Transcription
WikiPathways Nucleotide Metabolism
Retinoblastoma (RB) in Cancer
Metabolism of nucleotides
Fluoropyrimidine Activity
References
Ref 547230Trusted, scientifically sound profiles of drug programs, clinical trials, safety reports, and company deals, written by scientists. Springer. 2015. Adis Insight (drug id 800014315)
Ref 528297Gallium maltolate is a promising chemotherapeutic agent for the treatment of hepatocellular carcinoma. Anticancer Res. 2006 May-Jun;26(3A):1739-43.

If you find any error in data or bug in web service, please kindly report it to Dr. Zhang and Dr. Mou.