Drug General Information
Drug ID
D0E1HF
Former ID
DIB004540
Drug Name
FFC-14A
Synonyms
KP 1019; KP-692; HInd(RuInd2CI4), University of Vienna; KP-1019 (anhydrous); Ruthenium(III) complex, Faustus Forschung
Indication Solid tumours [ICD9: 140-199, 210-229; ICD10:C00-D48] Phase 1 [545763]
Company
Faustus Forschungs Cie Translational Cancer Research GmbH
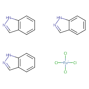
Structure
Download
2D MOL

3D MOL

Canonical SMILES
n1[nH]c2c(c1)cccc2.n1[nH]c2c(c1)cccc2.n1[nH]c2c(c1)cccc<br />2.[Ru-](Cl)(Cl)(Cl)Cl
Target and Pathway
Target(s) Human DNA Target Info Binder [527657]
References
Ref 545763Trusted, scientifically sound profiles of drug programs, clinical trials, safety reports, and company deals, written by scientists. Springer. 2015. Adis Insight (drug id 800004610)
Ref 527657The heterocyclic ruthenium(III) complex KP1019 (FFC14A) causes DNA damage and oxidative stress in colorectal tumor cells. Cancer Lett. 2005 Aug 26;226(2):115-21.

If you find any error in data or bug in web service, please kindly report it to Dr. Zhang and Dr. Mou.