Drug Information
| Drug General Information | |||||
|---|---|---|---|---|---|
| Drug ID |
D0L1MJ
|
||||
| Former ID |
DNC006265
|
||||
| Drug Name |
C[Nle-Nle-D-Nal(2')-Arg-Trp-Glu]-NH2
|
||||
| Drug Type |
Small molecular drug
|
||||
| Indication | Discovery agent | Investigative | [528082] | ||
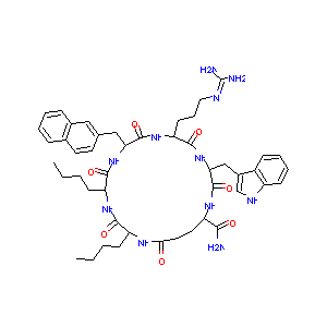
| Structure |
|
Download2D MOL |
|||
| Formula |
C47H63N11O7
|
||||
| Canonical SMILES |
CCCCC1C(=O)NC(C(=O)NC(C(=O)NC(C(=O)NC(C(=O)NC(CCC(=O)N1<br />)C(=O)N)CC2=CNC3=CC=CC=C32)CCCN=C(N)N)CC4=CC5=CC=CC=C5C<br />=C4)CCCC
|
||||
| InChI |
1S/C47H63N11O7/c1-3-5-15-35-42(61)55-36(16-6-4-2)43(62)57-38(25-28-19-20-29-12-7-8-13-30(29)24-28)45(64)56-37(18-11-23-51-47(49)50)44(63)58-39(26-31-27-52-33-17-10-9-14-32(31)33)46(65)54-34(41(48)60)21-22-40(59)53-35/h7-10,12-14,17,19-20,24,27,34-39,52H,3-6,11,15-16,18,21-23,25-26H2,1-2H3,(H2,48,60)(H,53,59)(H,54,65)(H,55,61)(H,56,64)(H,57,62)(H,58,63)(H4,49,50,51)/t34-,35-,36-,37-,38+,39-/m0/s1
|
||||
| InChIKey |
TYFFXNLNRYRUAU-LFSOJSGESA-N
|
||||
| PubChem Compound ID | |||||
| Target and Pathway | |||||
| Target(s) | Melanocortin-4 receptor | Target Info | Inhibitor | [528082] | |
| Melanocyte stimulating hormone receptor | Target Info | Inhibitor | [528082] | ||
| Melanocortin receptor | Target Info | Inhibitor | [528082] | ||
| Melanocortin-3 receptor | Target Info | Inhibitor | [528082] | ||
| Pathway Interaction Database | Syndecan-3-mediated signaling events | ||||
| References | |||||
If you find any error in data or bug in web service, please kindly report it to Dr. Zhang and Dr. Mou.
