Drug Information
| Drug General Information | |||||
|---|---|---|---|---|---|
| Drug ID |
D0Z5LN
|
||||
| Former ID |
DNC013619
|
||||
| Drug Name |
ZRCCNCSSKWCRDHSRCC
|
||||
| Indication | Discovery agent | Investigative | [529000] | ||
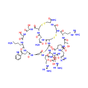
| Structure |
|
Download2D MOL |
|||
| Formula |
C81H123N33O25S6
|
||||
| Canonical SMILES |
C1CC(=O)NC1C(=O)NC(CCCNC(=N)N)C(=O)NC2CSSCC3C(=O)NC(C(=<br />O)NC(C(=O)NC(C(=O)NC(C(=O)NC(C(=O)NC4CSSCC(C(=O)NC(C(=O<br />)NC(CSSCC(NC4=O)C(=O)N)C(=O)NC(C(=O)NC(C(=O)NC(C(=O)NC(<br />C(=O)N3)CC5=CNC6=CC=CC=C65)CCCCN)CO)CO)CC(=O)N)NC2=O)CC<br />CNC(=N)N)CO)CC7=CN=CN7)CC(=O)O)CCCNC(=N)N
|
||||
| InChI |
1S/C81H123N33O25S6/c82-16-4-3-10-40-62(123)102-45(20-36-24-95-39-9-2-1-8-38(36)39)67(128)112-53-30-142-145-34-57(111-64(125)42(12-6-18-93-80(87)88)98-66(127)44-14-15-59(119)97-44)78(139)114-54-31-143-144-33-56(77(138)109-52(61(84)122)29-140-141-32-55(113-69(130)47(22-58(83)118)104-75(54)136)76(137)108-51(28-117)73(134)107-50(27-116)72(133)99-40)110-65(126)43(13-7-19-94-81(89)90)100-71(132)49(26-115)106-68(129)46(21-37-25-91-35-96-37)103-70(131)48(23-60(120)121)105-63(124)41(101-74(53)135)11-5-17-92-79(85)86/h1-2,8-9,24-25,35,40-57,95,115-117H,3-7,10-23,26-34,82H2,(H2,83,118)(H2,84,122)(H,91,96)(H,97,119)(H,98,127)(H,99,133)(H,100,132)(H,101,135)(H,102,123)(H,103,131)(H,104,136)(H,105,124)(H,106,129)(H,107,134)(H,108,137)(H,109,138)(H,110,126)(H,111,125)(H,112,128)(H,113,130)(H,114,139)(H,120,121)(H4,85,86,92)(H4,87,88,93)(H4,89,90,94)/t40-,41-,42-,43-,44-,45-,46-,47+,48-,49-,50-,51-,52-,53-,54-,55-,56-,57-/m0/s1
|
||||
| InChIKey |
BDKVNCLFYNBTCE-RQJANPMLSA-N
|
||||
| PubChem Compound ID | |||||
| Target and Pathway | |||||
| Target(s) | Sodium channel protein type 4 subunit alpha | Target Info | Inhibitor | [529000] | |
| Reactome | Interaction between L1 and Ankyrins | ||||
| References | |||||
If you find any error in data or bug in web service, please kindly report it to Dr. Zhang and Dr. Mou.
